Next: Beschrijving van een golfpakket
Up: Fourieranalyse van golfverschijnselen
Previous: Complexe schrijfwijze van de
  Contents
We beschouwen nu een functie
die gedefinieerd is
op
en die niet noodzakelijkerwijs
periodiek is. We kunnen ons voorstellen dat
benaderd
kan worden met een superpositie van periodieke functies waarvan
de periode
benadert.
De Fouriertransformatie is een generalisatie van de complexe
Fourierreeks in de limiet
. We vervangen
de discrete
door de continue
en laten
. Vervolgens vervangen we de som door een
integraal. Voor elke functie
, waarbij
zowel reëel
als complex kan zijn, verkrijgen we
 |
(52) |
We noemen
de Fouriergetransformeerde en
de
inverse transformatie.
Met name fysici geven er de voorkeur aan om de transformatie te
schrijven in termen van hoekfrequenties, bijvoorbeeld
,
en we krijgen dan
![\begin{displaymath}
F( k ) = {\mathcal{F}}[f(x)]
= {1 \over \sqrt{2\pi}} \int...
...1 \over \sqrt{2\pi}} \int_{-\infty}^{\infty} F(k) e^{ikx}dk .
\end{displaymath}](img289.png) |
(53) |
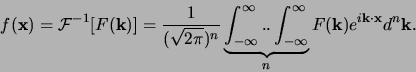
Tenslotte kunnen we nog een
-dimensionale Fouriertransformatie
definiëren voor
door
![\begin{displaymath}
F( {\bf k} ) = {\mathcal{F}}[f({\bf x})]
= {1 \over (\sqr...
...infty}}_{n}
f({\bf x}) e^{-i{\bf k}\cdot {\bf x}}d^n{\bf x}
\end{displaymath}](img291.png) |
(54) |
en
![\begin{displaymath}
f({\bf x}) = {\mathcal{F}}^{-1}[F({\bf k})]
= {1 \over (\...
...nfty}}_{n}
F({\bf k}) e^{i{\bf k} \cdot {\bf x}}d^n{\bf k} .
\end{displaymath}](img292.png) |
(55) |
Next: Beschrijving van een golfpakket
Up: Fourieranalyse van golfverschijnselen
Previous: Complexe schrijfwijze van de
  Contents
Jo van den Brand
2004-09-25